🍋 ⚾️ 💻 🎬 🎮

database 10

[DB] 04. 정규화 (Normalization) - (2) 함수적 종속성

함수적 종속성정규화 (Normalization)함수적 종속성 (Functional Dependency)함수 종속 다이어그램함수 종속 관계 판단 시 유의 사항완전 함수 종속 vs. 부분 함수 종속고려할 필요가 없는 함수 종속 관계정규화 (Normalization)이상 현상을 제거하면서 데이터베이스 구조를 올바르게 설계해 나가는 과정 핵심 아이디어: 관련 있는 속성들로만 하나의 Relation에 있도록, Relation을 여러 개로 분해(decomposition) → 관련 있는 속성인지 판단하는 기준 “함수적 종속성”함수적 종속성 (Functional Dependency)두 속성이 함수적 종속 관계에 있을 때: X → Y로 표현X와 Y는 Relation 내 속성들의 부분 집합"Y는 X에 함수적으로 종속되..

CS/Database 2025.07.11

[DB] 04. 정규화 (Normalization) - (1) 이상 현상 (Anomaly)

이상 현상 (Anomaly) 이상 현상이란?이상 현상은 불필요한 데이터 중복으로 인해 Relation에서 데이터를 삽입, 수정, 삭제할 때 발생하는 부작용을 의미한다.  이상 현상의 종류삽입 이상 (Insertion Anomaly)새로운 데이터를 추가하려면 불필요한 데이터까지 함께 삽입해야 하는 문제갱신 이상 (Update Anomaly)중복된 튜플 중 일부만 수정하면 데이터 불일치가 발생하는 문제삭제 이상 (Delete Anomaly)특정 데이터를 삭제할 때 필요한 정보까지 함께 삭제되는 문제  📎  삽입 이상 (Insertion Anomaly)새로운 데이터를 삽입하려면 관계없는 정보도 함께 입력해야 하는 문제불필요한 데이터가 강제로 포함되므로 데이터 정합성 유지가 어려움  📎  갱신 이상 (Upd..

CS/Database 2025.03.14

[DB] 03. 데이터 모델링 (Data Modeling) - (4) 논리적 설계

1. 논리적 모델 ER 다이어그램으로 표현된 개념적 구조를 데이터베이스에 저장할 형태로 표현한 논리적 구조  예) 데이터베이스의 논리적 구조 = 데이터베이스 스키마(schema) 개체-관계 (Entity-Relationship) 모델데이터와 관계를 개념적으로 표현하는 모델로, ER 다이어그램을 사용하여 시각화한다.계층적 (Hierarchical) 데이터 모델트리 구조로 데이터를 조직하며, 부모-자식 관계를 통해 상위 데이터에서 하위 데이터를 탐색하는 방식이다.네트워크 (Network) 데이터 모델개체 간 다대다 관계를 허용하며, Owner-Member 구조를 통해 관계를 명시적으로 정의한다.관계형 (Relational) 데이터 모델데이터를 테이블(릴레이션) 형태로 저장하며, 강력한 수학적 기반(집합론, ..

CS/Database 2025.03.14

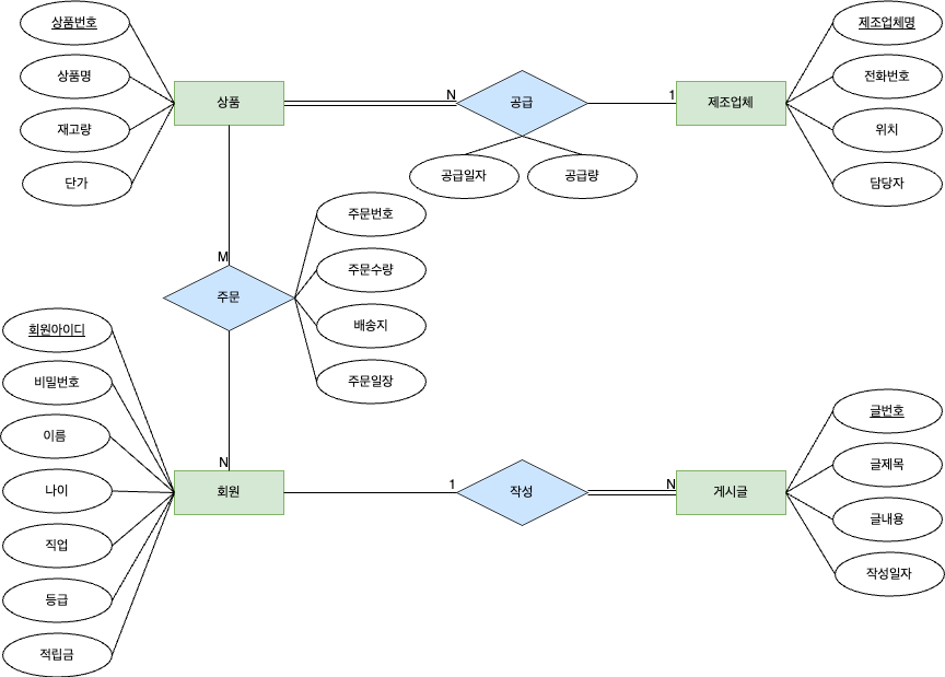
[DB] 03. 데이터 모델링 (Data Modeling) - (3) 개념적 설계

1. ER 모델링 (Entity-Relationship Modeling)ER 모델은 개체(Entity)와 관계(Relationship)로 현실 세계의 개념 구조를 표현한다.  ER 다이어그램 (ER Diagram) :개체(Entity), 속성(Attribute), 관계(Relationship)을 시각적으로 표현한 모델개체는 사각형, 관계는 마름모, 속성은 타원으로 표시    2. ER 모델 주요 개념 1 ) 개체 (Entity)조직 운영에 필수적인 사람, 개념, 사물과 같이 구별되는 모든 것각 객체만의 고유한 특성이나 상태, 즉 속성을 하나 이상 보유예) 서점 : 고개, 책 / 학교 : 학과, 과목ER 다이어그램에서 사각형으로 표현  2 ) 속성 (Attribute)개체 또는 관계가 가지고 있는 고유의 ..

CS/Database 2025.03.14

[DB] 03. 데이터 모델링 (Data Modeling) - (2) 요구 사항 분석

요구 사항 분석 목적 :사용자 요구 사항을 수집 및 분석하여 데이터베이스의 용도를 정의한다.업무에 필요한 데이터와 그 처리 방법을 고려한다.  결과물 :요구 사항 명세서  주요 작업 :데이터베이스를 사용할 주요 사용자 범위 결정사용자 업무 분석면담, 설문 조사, 업무 관련 문서 분석 등의 방법으로 요구 사항 수집수집된 요구 사항에 대한 분석 결과를 요구 사항 명세서로 작성

CS/Database 2025.03.14

[DB] 03. 데이터 모델링 (Data Modeling) - (1) 데이터 모델

데이터 모델링 데이터 모델링은 현실 세계의 데이터를 데이터베이스로 변환하는 과정으로, 개념적 설계와 논리적 설계가 핵심적인 역할을 한다.  데이터 모델링 개요 현실 세계의 요구 사항을 분석하고 이를 데이터베이스에 적합한 형태로 표현하는 과정개념적 모델링 (Conceptual Modeling)    :    현실 세계의 주요 데이터를 추출하여 개념적 구조로 정리논리적 모델링 (Logical Modeling)           :    개념적 구조를 데이터베이스에 적합한 논리적 구조로 변환  데이터 모델 (Data Model) 데이터 모델링의 결과물로, 데이터를 표현하는 일종의 틀 개념적 모델 (Conceptual Model)    :   현실 세계를 개념적으로 모델링하여 데이터베이스의 개념적 구조로 표현한..

CS/Database 2025.03.14

[DB] 02. 데이터베이스 시스템 - 2

2.  데이터베이스 관리 시스템 (Database Management System, DBMS) DBMS 란?파일 시스템의 문제를 해결하기 위해 제시된 소프트웨어로, 조직에서 필요한 데이터를 통합하여 저장 및 관리  DBMS의 주요 기능기능설명데이터 정의 (Definition)데이터 구조 정의 및 삭제, 변경 가능데이터 조작 (Manipulation)데이터를 삽입, 수정, 삭제하는 기능데이터 검색 (Retrieve)사용자가 원하는 데이터를 조회하는 기능데이터 제어 (Control)접근 제어, 백업 및 복구, 동시성 제어 기능  DBMS의 장단점장점  👍🏻데이터 중복 최소화데이터 독립성 확보동시 접근 가능보안 강화데이터 무결성 유지표준화 가능장애 발생 시 복구 가능응용 프로그램 개발 비용 절감단점  👎..

CS/Database 2025.03.12

[DB] 02. 데이터베이스 시스템 - 1

Database System데이터베이스 시스템은 크게 다음과 같이 구성  사용자 데이터 언어 데이터베이스 관리 시스템 데이터베이스    1.  데이터베이스 아키텍처 (Architectures of Database) ANSI-SPARC 데이터베이스 아키텍처미국 표준화 기관인 ANSI/SPARC에서 제안한 3단계 데이터베이스 구조내부 단계 (Internal Level)            :     물리적인 저장 장치의 관점개념 단계 (Conceptual Level)     :     조직 전체의 관점외부 단계 (External Level)           :     개별 사용자 관점각 단계는 서로 다른 추상화 수준을 제공한다.  →  내부 단계에서 외부 단계로 갈수록 추상화 수준이 높아진다.  스키마(S..

CS/Database 2025.03.12

[DB] 01. 데이터베이스를 왜 사용할까?

데이터베이스의 필요성 1. 정보 시스템 (Information System)조직 운영에 필요한 데이터를 수집하고 저장하여, 필요할 때 유용한 정보를 제공하는 시스템2. 정보 시스템의 발전(1) 파일 시스템 (File System)데이터를 파일로 관리하기 위해 생성, 삭제, 수정, 검색 기능을 제공하는 소프트웨어.응용 프로그램마다 필요한 데이터를 별도의 파일로 관리. 파일 시스템의 한계 (Limitations of File System)- 데이터 중복 (Data Redundancy) - 같은 내용의 데이터가 여러 파일에 중복 저장 - 저장 공간이 낭비되고, 데이터 일관성 및 무결성 유지가 어려움.- 데이터 종속성 (Data Dependency) - 응용 프로그램이 특정 데이터 파일에 종속적 - 파..

CS/Database 2025.03.12

[DB] 00. 데이터베이스(Database)란?

1. 데이터베이스란? `데이터베이스(Database)` : 조직에서 필요한 정보를 얻기 위해 논리적으로 연관된 데이터를 구조적으로 통합해 놓은 것.2. 데이터베이스의 데이터 특징 통합된 데이터 (Integrated Data)데이터 중복을 최소화하여 불필요한 중복으로 인한 데이터 불일치 현상을 제거 저장된 데이터 (Stored Data)문서 형태가 아닌, 디스크나 테이프 같은 컴퓨터 저장장치에 저장된 데이터 운영 데이터 (Operational Data)조직의 목적에 맞게 저장되어, 업무 수행을 위한 검색 등에 활용되는 데이터 공용 데이터 (Shared Data)특정 개인이나 단일 업무가 아닌, 여러 사용자가 공동으로 활용할 수 있는 데이터3. 데이터베이스의 특징 실시간 접근성 (Real-Time Acces..

CS/Database 2025.03.12
728x90
반응형